
Regulator nadrzędny - instrukcja obsługi
Regulator nadrzędny jest obok regulatora przepływów częścią szafy nadrzędnej.
Szafa nadrzędna posiada dwa podstawowe tryby pracy: pracę w sezonie letnim oraz pracę w sezonie grzewczym. Wyboru jednego z tych trybów dokonuje się przy pomocy tryb pracy. Prawidłowe ustawienie trybu pracy jest bardzo istotne, gdyż informacja ta przesyłana jest również do innych regulatorów (np. do regulatora przepływu, regulatorów odpływu) i w zależności od niej wybierane są różne algorytmy sterowania.
Zadania regulatora nadrzędnego
Regulator nadrzędny posiada następujące zadania:
Wartości wyliczane przez regulator nadrzędny są następnie przesyłane do regulatorów odpływów, gdzie są wykorzystywane do regulacji.
Algorytm utrzymywania stałej temperatury przed kotłami przy pomocy regulacji pompą zmieszania gorącego
Sterownik nadrzędny pracując według tego algorytmu utrzymuje zadaną temperaturę w kolektorze przed kotłami Tkwo (funkcja 65) z dokładnością do +/- 1°C. Do regulacji temperaturą w kolektorze przed kotłami Tkwe jest wykorzystywana pompa zmieszania gorącego impg. Okres regulacji ustalono na 9 minut, a skok wysterowania falownika na 0.1% (tj. 0.05 Hz). Sterowanie pompą zmieszania gorącego impg na utrzymywanie temperatury wody w kolektorze przed kotłami zostało przedstawione na poniższym wykresie:
![]() |
(1.1) |
Algorytm wyliczania współczynnika dyspozycji
Współczynnik dyspozycji jest wykorzystywany do stabilizacji ciśnienia dyspozycyjnego przez regulatory odpływów.
Jest to funkcja zdefiniowana w następujący sposób:
gdzie:
tx_wsp_pdysp - zadana wartość dla mnożnika ciśnienia dyspozycyjnego przy temperaturze +12°C (funkcja 13).
Tak więc funkcja get_wsp_pdysp dla temperatur (będących parametrem funkcji) większych bądź równych 6°C jest zdefiniowana jako:
|
(2.1) |
Wartością temperatury używaną przez regulator przy wyliczaniu współczynnika dyspozycji jest średnia wartość temperatury zewnętrznej Tze (funkcja 02) z ostatniej godziny.
Algorytm wyliczania temperatury odniesienia wody wyjściowej
W sezonie letnim temperatura odniesienia wody wyjściowej na głównym wyjściu z ciepłowni To jest wartością programowalną jako wartość stała na funkcji 00. W sezonie zimowym zaś wielkość ta jest wyliczana przez regulator według następującego wzoru:
|
(3.1) |
Tlo - programowalna wartość temperatury odniesienia dla -20°C (funkcja 17)
Thi - programowalna wartość temperatury odniesienia dla 6°C (funkcja 18)
Tze - aktualna wartość temperatury zewnętrznej (funkcja 02)
To - wynikowa wartość temperatury odniesienia wody wyjściowej na głównym odpływie z ciepłowni (funkcja 00)
Algorytm wyznaczania widełek mocy wyjściowej
Widełki mocy wyjściowej Qmn/Qmx (odpowiednio funkcja 20 i 22) nie są wykorzystywane przez regulator podczas automatycznego sterowania. Są one wyznaczane jedynie jako parametr informacyjno-pomocniczy dla obsługi. Wyznaczenie widełek przebiega wieloetapowo. Pierwszym krokiem jest wyliczenie temperatury sterującej Tst (funkcja 11).
Wyznaczenie temperatury sterującej Tst odbywa się na podstawie średniej temperatury zewnętrznej z ostatnich 24. godzin ograniczonej z góry do 20°C, zwanej temperaturą normalną Tnor (funkcja 10). Oprócz temperatury normalnej Tnor brana do obliczeń jest również korekta zależna od zmian temperatury zewnętrznej w ciągu ostatnich 3, 6, 12 i 24 godzin wyliczana w następujący sposób:
|
(4.1) |
dTzli - różnica między średnią temperaturą zewnętrzną z ostatnich i godzin a średnią temperaturą zewnętrzną z poprzednich i godzin
corr - sumaryczna korekta od zmian temperatury zewnętrznej (funkcja 84)
Pod uwagę przy wyliczaniu temperatury sterującej Tst (funkcja 11) brana jest również różnica między średnią temperaturą zewnętrzną z ostatnich 3 godzin a średnią temperaturą zewnętrzną z 3 godzin 24 godziny temu (oznaczana dTzl3_24), a także różnica między średniodobową temperaturą zewnętrzną na słońcu i w cieniu (oznaczana dTzs). Na wartość temperatury sterującej Tst wpływ ma również czynnik pochodzący od prędkości wiatru. Ostatecznie temperatura sterująca Tst (funkcja 11) dana jest następującym wzorem:
1 | Tst = Tnor + corr + dTzl3_24 + k_s * dTzs - k_w * Pred |
gdzie:
Tst - wynikowa wartość temperatury sterującej (funkcja 11, w stosunku do powyższych obliczeń ograniczona z góry do 20°C
Tnor - temperatura normalna (funkcja 10)
corr - sumaryczna korekta od zmian temperatury zewnętrznej (funkcja 84)
k_s - programowalna wartość współczynnika wpływu słońca na temperaturę sterującą (funkcja 91)
k_w - programowalna wartość współczynnika wpływu wiatru na temperaturę sterującą (funkcja 92)
Pred - aktualna prędkość wiatru (funkcja 70)
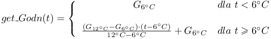
Następnie regulator wylicza moc obliczeniową według następującego algorytmu:
1 | Qobl = get_Q(Tst)
|
2 | Godn = get_Godn(Tst)
|
3 |
|
4 | jeżeli Gwy3m > Godn
|
5 | Qobl = Qobl + (Gwy3m - Godn) * 0.06 MW/t/h
|
6 | w przeciwnym wypadku jeżeli Gc < Godn
|
7 | Qobl = Qobl - (Godn - Gwy3m) * 0.03 MW/t/h
|
8 |
|
9 | Qobl = Qobl + (To - Twy) * Ktod
|
gdzie:
Qobl - wynikowa moc obliczeniowa głównego wyjścia z ciepłowni
Godn - przepływ odniesienia do utrzymania na głównym wyjściu z ciepłowni
Gwy3m - średnia wartość przepływu na głównym wyjściu z ciepłowni Gwy z ostatnich 3 minut (funkcja 31)
To - temperatura odniesienia wody wyjściowej na głównym wyjściu z ciepłowni (funkcja 00), wyliczona w sposób opisany powyżej
Twy - aktualna temperatura wody wyjściowej na głównym wyjściu z ciepłowni (wartość wyświetlana na wyświetlaczu stałym)
Ktod - programowalna wartość współczynnika korekty mocy od różnicy między temperaturą wody wyjściowej na głównym wyjściu z ciepłowni a temperaturą odniesienia
get_Q - funkcja wyliczająca moc odniesienia na podstawie temperatury dana następującym wzorem:
|
(1.1) |
|
(4.2) |
Na podstawie tak wyznaczonej mocy obliczeniowej wyliczane są ostatecznie widełki mocy wyjściowej Qmn/Qmx (odpowiednio funkcje 20 i 22). Wyliczanie wartości widełek odbywa się w następujący sposób:
1 | jeżeli Qobl <= 30 MW
|
2 | Qmn = 90% * Qobl
|
3 | Qmx = 110% * Qobl
|
4 | w przeciwnym wypadku
|
5 | Qmn = Qobl - 2 MW
|
6 | Qmx = Qobl + 2 MW
|
Znaczenie poszczególnych funkcji
Wyświetlacz stały [TEMPERATURA WYJ] - temperatura wody wyjśćiowej - Pomiar z czujnika Pt100, zakres przetwarzania 0..200°C, wejście 10.
00 - temperatura z tabeli [°C] - Wartość wyliczana zgodnie z algorytmem wyliczania temperatury odniesienia wody wyjściowej.
01 - temperatura wody w kolektorze za kotłami [°C] - Pomiar czujnikiem Pt100 o zakresie przetwarzania 0..200°C podłączony do regulatora na wejściu analogowym nr 8.
02 - temperatura zewnętrzna [°C] - Pomiar czujnikiem Pt100 o zakresie przetwarzania -30..70°C podłączony do regulatora na wejściu analogowym nr 12.
03 - temperatura zewnętrzna na słońcu - Pomiar czujnikiem Pt100 o zakresie przetwarzania -30..70°C podłączony do regulatora na wejściu analogowym nr 11.
04 - wysterowanie falownika[%] - Sygnał prądowy wychodzący z regulatora (wyjście prądowe nr 1). W trybie pracy ręcznej regulator nie steruje falownikiem pompy obiegowej - elektrycznie obwód zamknięty jest w ten sposób, że sygnał prądowy z zadajnika w szafie jest wprost (z pominięciem sterownika) podawany na wejście prądowe falownika pompy obiegowej. W trybie synchronizacji sygnał prądowy na wyjściu prądowym nr 2 jest równy wysterowaniu zadajnika falownika pompy obiegowej - sygnałowi prądowemu na wejściu analogowym nr 5, wyświetlanemu na funkcji 05, dlatego też wskazania na funkcjach 04 i 05 pokrywają się. W trybie pracy automatycznej wartość wysterowania jest dobierana przez algorytm sterowania. Wartość wysterowania może być zmieniana w granicach od 65% do 100%.
05 - wysterowanie falownika z zadajnika [%] - Sygnał prądowy z zadajnika 4-20mA. W trybie pracy ręcznej nie jest pokazywany, ponieważ obwód jest elektrycznie zamknięty z pominięciem sterownika i sygnał z zadajnika jest wysyłany prosto do falownika. Potencjometr zadajnika jest dziesięcioobrotowy, jedna działka na potencjometrze odpowiada 1% wysterowania (0.05 Hz).
10 - temperatura "normalna" (rednia 24-godz.) [°C] - Arytmetyczna średnia krocząca z temperatury zewnętrznej z ostatnich 24 godzin. Jest ona uaktualniana co jedną godzinę
11 - temperatura "sterujšca" [°C] - Wartość wyliczana przez regulator zgodnie z algorytmem wyznaczania widełek mocy wyjściowej.
12 - odchyłka temperatury "sterujšcej" [°C] - Wartość pomocnicza dla obsługi informująca o odchyłce aktualnej temperatury wyjściowej na głównym odpływie (wartość na wyświetlaczu stałym) od temperatury wyjściowej odniesienia dla głównego odpływu (funkcja 00).
13 - zadana wartoć dla mnożnika cinienia dyspozycyjnego przy temperaturze +12°C - Wartość programowalna jako parametr stały na funkcji 13 używana w algorytmie wyliczania współczynnika dyspozycji.
14 - wartoć dla mnożnika cinienia dyspozycyjnego przy aktualnej temperaturze - Wartość wyliczana przez regulator zgodnie z algorytmem wyliczania współczynnika dyspozycji.
15 - temperatura w kolektorze przed kotłami [°C] - Pomiar czujnikiem Pt100 o zakresie przetwarzania 0..200°C podłączony do regulatora na wejściu analogowym nr 7.
17 - temperatura wody z ciepłowni dla temperatury zewnętrznej - 20 [°C] - Wartość programowalna jako parametr stały na funkcji 17 wykorzystywana w algorytmie wyliczania temperatury odniesienia wody wyjściowej.
18 - temperatura wody z ciepłowni dla temperatury zewnetrznej 6.0 [°C] - Wartość programowalna jako parametr stały na funkcji 18 wykorzystywana w algorytmie wyliczania temperatury odniesienia wody wyjściowej.
20 - moc minimalna [MW] - Wartość wyliczana zgodnie z algorytmem wyznaczania widełek mocy wyjściowej.
21 - moc ciepłowni [MW] - Wartość wyliczana na podstawie aktualnej temperatury wody wyjściowej (wartość wyświetlana na wyświetlaczu stałym), aktualnej temperatury wody powrotnej z sieci (wartość wyświetlana na dodatkowym panelu wyświetlaczy) oraz aktualnego przepływu w sieci (funkcja 30).
22 - moc maksymalna [MW] - Wartość wyliczana zgodnie z algorytmem wyznaczania widełek mocy wyjściowej.
23 - moc deficytowa [MW] - Wartość wyliczana jako różnica między mocą obliczeniową a rzeczywistą mocą wyjściową odpływu głównego. Wartość ta wyliczana jest co 10 minut, ale wyświetlana jest jej średnia z ostatnich 24 godzin.
24 - moc maksymalna pracujšcych kotłów [MW] - Wartość nie używana w tej instalacji regulatora nadrzędnego.
30 - aktualny przepływ systemu [t/h] - Wartość mierzona w ciepłomierzu, a odbierana przez regulator za pośrednictwem serwera systemu SZARP.
31 - przepływ z ostatnich 3-ch minut [t/h] - Wartość uśredniona z ostatnich 3 minut przepływu wody na głównym odpływie (funkcja 30).
40 - stan analizy kotlow [-] - Wartość nie używana w tej instalacji regulatora nadrzędnego.
50 - przepływ odn. przez mieszanie goršce [t/h] - Wartość nie używana w tej instalacji regulatora nadrzędnego.
51 - aktualny przepływ przez mieszanie goršce [t/h] - Wartość mierzona w przepływomierzu, a odbierana przez regulator jako sygnał prądowy na wejściu analogowym nr 2.
60 - % kotłów niedotrzymujšcych parametrów pracy: [%] - Wartość nie używana w tej instalacji regulatora nadrzędnego.
65 - zadana temperatura przed kotłami [°C] - Wartość programowalna jako parametr stały na funkcji 65 wykorzystywana w algorytmie utrzymywania stałej temperatury przed kotłami przy pomocy regulacji pompą zmieszania gorącego.
66 - aktualna temperatura przed kotłami [°C] - Wartość ta nie jest rzeczywiście mierzona, a wyliczana jako temperatura wody przed kotłem o aktualnie największej mocy.
70 - prędkoć wiatru: xx.x [m/s] - Wartość mierzona w wiatromierzu, a odbierana przez regulator za pośrednictwem serwera systemu SZARP.
80 - moc przy 0řC: xxx.x [MW] - Wartość programowalna jako parametr stały na funkcji 80 wykorzystywana w algorytmie wyznaczania widełek mocy wyjściowej.
81 - moc przy 5řC: xxx.x [MW] - Wartość programowalna jako parametr stały na funkcji 81 wykorzystywana w algorytmie wyznaczania widełek mocy wyjściowej.
82 - moc przy 12řC: xxx.x [MW] - Wartość programowalna jako parametr stały na funkcji 82 wykorzystywana w algorytmie wyznaczania widełek mocy wyjściowej.
83 - moc w sezonie letnim: xxx.x [MW] - Wartość programowalna jako parametr stały na funkcji 83 wykorzystywana w algorytmie wyznaczania widełek mocy wyjściowej.
84 - sumaryczna korekta [°C] - Wartość wyliczana zgodnie z algorytmem wyznaczania widełek mocy wyjściowej.
90 - temperatura "startu" - Wartość programowalna jako parametr stały na funkcji 90 oznaczająca wartość temperatury sterującej (funkcja 11 przyjmowana przez regulator po zaniku zasilania.
91 - współczynnik wpływu słonca - Wartość programowalna jako parametr stały na funkcji 91 wykorzystywana w algorytmie wyznaczania widełek mocy wyjściowej.
92 - współczynnik wpływu wiatru - Wartość programowalna jako parametr stały na funkcji 92 wykorzystywana w algorytmie wyznaczania widełek mocy wyjściowej.
92 - współczynnik wpływu wiatru - Wartość programowalna jako parametr stały na funkcji 93 wykorzystywana w algorytmie wyznaczania widełek mocy wyjściowej.
97 - Stan wejść logicznych 1-4 - Wejścia logiczne 1-4. Każda cyfra na wyświetlaczu odpowiada stanowi wejścia logicznego: pierwsza - wejście 1, druga - wejście 2, trzecia - wejście 3, czwarta - wejście 4. Stan "0" oznacza wejście rozwarte, stan "1" oznacza wejście zwarte.
98 - Stan wejść logicznych 5-8 - Wejścia logiczne 5-8. Jak funkcja 97, ale cyfry na wyświetlaczu odpowiadają wejściom logicznym: pierwsza - wejście 5, druga - wejście 6, trzecia - wejście 7, czwarta - wejście 8.
Panel wyświetlaczy nr 2, pozycja na wyświetlaczu: 1 - temperatura wody powrotnej - Pomiar z czujnika Pt100, zakres przetwarzania 0..200°C, wejście 9 .
Panel wyświetlaczy nr 2, pozycja na wyświetlaczu: 2 - temperatura zewnętrzna - Pomiar czujnikiem Pt100 o zakresie przetwarzania -30..70°C podłączony do regulatora na wejściu analogowym nr 12.
Panel wyświetlaczy nr 2, pozycja na wyświetlaczu: 3 - przepływ systemu - Wartość mierzona w ciepłomierzu, a odbierana przez regulator za pośrednictwem serwera systemu SZARP.
Panel wyświetlaczy nr 2, pozycja na wyświetlaczu: 4 - moc odpływu - Wartość wyliczana na podstawie aktualnej temperatury wody wyjściowej (wartość wyświetlana na wyświetlaczu stałym), aktualnej temperatury wody powrotnej z sieci (wartość wyświetlana na dodatkowym panelu wyświetlaczy) oraz aktualnego przepływu w sieci (funkcja 30).
Ogólne uwagi na temat obsługi sterownika
Na szafie regulatora znajduje się przełącznik zmiany trybu pracy, który pozwala na przechodzenie pomiędzy trybami: 1 - sterowanie ręczne, 2 - praca w synchronizacji, 3 - praca automatyczna. Poszczególne tryby pracy wiążą się nie tylko z rozkazami wydawanymi do sterownika, ale także z połączeniami elektrycznymi wewnątrz szafy. W szafie regulatora mogą znajdować się przyciski: kasowania awarii i kontroli sygnalizacji (nie występują one we wszystkich szafach). W przypadku zaistnienia awarii odpowiednia lampka na szafie regulatora mruga i ewentualnie towarzyszy temu sygnał dźwiękowy. Kasowanie awarii powoduje, że sygnał dźwiękowy zostaje wyłączony, a lampka świeci się światłem ciągłym - jeśli stan awaryjny, który spowodował jej załączenie, wciąż trwa - lub gaśnie - jeśli stan awaryjny minął. W przypadku zaistnienia stanu awaryjnego powtórne załączenie sygnału dźwiękowego wymaga więc skasowania awarii przez naciśnięcie przycisku, ustąpienia stanu awaryjnego i jego powtórnego zaistnienia. Kontrola sygnalizacji ma na celu sprawdzenie, czy wszystkie lampki i sygnalizacja dźwiękowa są sprawne - naciśnięcie tego przycisku powoduje załączenie wszystkich lampek na czas jego przyciśnięcia.
Tryby pracy regulatora oraz przełączanie między nimi
Regulator może pracować w jednym z trzech trybów pracy, które są wybierane przy pomocy trójpozycyjnego przełącznika. Dostępne są następujące tryby pracy:
Przełączanie z trybu pracy ręcznej do trybu synchronizacji jest kłopotliwym przełączeniem. W trybie synchronizacji regulator powiela sygnał z wejścia analogowego na wyjście prądowe, a w trybie pracy ręcznej jest elektrycznie odcięty od sygnałów z zadajników, dlatego też, zanim regulator zacznie prawidłowo powtarzać sygnał do falowników, musi go dokładnie zmierzyć. Z uwagi na filtracje przeciwzakłóceniowe dokładny pomiar sygnału prądowego z zadajnika zajmuje kilka sekund od momentu jego elektrycznego podłączenia do regulatora, które ma miejsce w tym przełączeniu. W przypadku źle zaprogramowanych falowników (jeśli zamiast lotnego startu mają ustawiony start po całkowitym zatrzymaniu) lub zaprogramowanego zbyt krótkiego czasu zwalniania (poniżej 10 sekund) przy zaniku prądowego sygnału sterującego, przełączenie to może nawet doprowadzić do chwilowego odstawienia falowników. Wówczas należy natychmiast załączyć je ponownie. Przełączenie to nie wymaga dodatkowych operacji.
Przełączanie z trybu synchronizacji do trybu pracy ręcznej jest operacją nie wymagającą żadnych dodatkowych czynności. Przełączenie inaczej niż w powyższym przypadku praktycznie nie powoduje zaniku sygnału sterującego wysyłanego do falowników - elektryczne odcięcie sterownika z obwodu regulacji odbywa się na tyle szybko, że pozostaje właściwie niezauważone przez falowniki.
Przełączanie z trybu synchronizacji do trybu pracy automatycznej może wiązać się z gwałtowną zmianą wysterowania falowników pomp poprzecznych i obiegowych, gdy zadane wartości wysterowań nie są prawidłowo ustawione. Aby przełączenie było łagodne, należy sprawdzić poprawność wszystkich parametrów jeszcze w trybie synchronizacji.
Asysta przy zdalnej zmianie programu regulatora
Część parametrów takich, jak zakresy przyrządów pomiarowych oraz konfiguracje programu takie, jak kolejność wyświetlania parametrów, niektóre progi zapalania lampek alarmowych itp. są trwale zakodowane w programie sterownika. Nie można tego zmienić z poziomu obsługi (programowania parametrów stałych czy paczek czasowych), ponieważ są to zbyt newralgiczne dla działania regulatora wielkości. Takie zmiany występują stosunkowo rzadko. Zmiana programu regulatora zwykle prowadzona jest bezpośrednio przez pracowników firmy Praterm. Polega ona na podłączeniu notebooka kablem modemowym do RS232/0 sterownika i uruchomieniu na notebooku odpowiedniego programu. Ta operacja jednak może też zostać przeprowadzona z wykorzystaniem serwera SZARP, który w normalnej pracy jest podłączony przez RS232/0 do sterownika w celu zbierania i rejestracji danych. Pracownicy firmy Praterm mogą zdalnie - z wykorzystaniem Internetu - na serwerze SZARP uruchomić program do zmiany programu regulatora, fizycznie nie będąc przy sterowniku. Dzięki temu przy ewentualnej konieczności zmiany programu (np. po wymianie uszkodzonego przetwornika pomiarowego na nowy o innym zakresie) możliwa jest szybka operacja zmiany, bez konieczności przyjazdu na miejsce. Zdalna zmiana programu regulatora wymaga pomocy pracowników obsługi znajdującej się bezpośrednio przy sterowniku:
Wartości wyświetlane
| numer | opis |
| stały wyświetlacz | temperatura wody wyjśćiowej |
| nE | Wersja pamięci EPROM: 2305 |
| nP | Wersja programu technologicznego: 7003 |
| 00 | temperatura z tabeli [°C] |
| 01 | temperatura wody w kolektorze za kotłami [°C] |
| 02 | temperatura zewnętrzna [°C] |
| 03 | temperatura zewnętrzna na słońcu |
| 04 | wysterowanie falownika[%] |
| 05 | wysterowanie falownika z zadajnika [%] |
| 10 | temperatura "normalna" (średnia 24-godz.) [°C] |
| 11 | temperatura "sterująca" [°C] |
| 12 | odchyłka temperatury "sterującej" [°C] |
| 13 | zadana wartość dla mnożnika ciśnienia dyspozycyjnego przy temperaturze +12°C |
| 14 | wartość dla mnożnika ciśnienia dyspozycyjnego przy aktualnej temperaturze |
| 15 | temperatura w kolektorze przed kotłami [°C] |
| 17 | temperatura wody z ciepłowni dla temperatury zewnętrznej - 20 [°C] |
| 18 | temperatura wody z ciepłowni dla temperatury zewnetrznej 6.0 [°C] |
| 20 | moc minimalna [MW] |
| 21 | moc ciepłowni [MW] |
| 22 | moc maksymalna [MW] |
| 23 | moc deficytowa [MW] |
| 24 | moc maksymalna pracujących kotłów [MW] |
| 30 | aktualny przepływ systemu [t/h] |
| 31 | przepływ z ostatnich 3-ch minut [t/h] |
| 40 | stan analizy kotlow [-] |
| 50 | przepływ odn. przez mieszanie gorące [t/h] |
| 51 | aktualny przepływ przez mieszanie gorące [t/h] |
| 60 | % kotłów niedotrzymujących parametrów pracy: [%] |
| 65 | zadana temperatura przed kotłami [°C] |
| 66 | aktualna temperatura przed kotłami [°C] |
| 70 | prędkość wiatru: xx.x [m/s] |
| 80 | moc przy 0řC: xxx.x [MW] |
| 81 | moc przy 5řC: xxx.x [MW] |
| 82 | moc przy 12řC: xxx.x [MW] |
| 83 | moc w sezonie letnim: xxx.x [MW] |
| 84 | sumaryczna korekta [°C] |
| 90 | temperatura "startu" |
| 91 | współczynnik wpływu słonca |
| 92 | współczynnik wpływu wiatru |
| 93 | korekta mocy od odchyłki Twy w stosunku do odniesienia |
| 97 | Stan wejść logicznych 1-4 |
| 98 | Stan wejść logicznych 5-8 |
Panele wyświetlaczy
| temperatura wody powrotnej | temperatura zewnętrzna |
| przepływ systemu | moc odpływu |
Wartości stałe
| numer | minimalna wartość | maksymalna wartość | domyślna wartość | opis |
| 00 | 60 | 140 | 80 | temperatura wyjściowa odniesienia programowana tylko w sezonie letnim |
| 12 | 0 | 100 | 100 | zadana wartość dla mnożnika ciśnienia dyspozycyjnego przy temperaturze +12°C |
| 17 | 120,0 | 135,0 | 125,0 | temperatura wody z ciepłowni dla temperatury zewnętrznej - 20 [°C] |
| 18 | 60,0 | 70,0 | 65,0 | temperatura wody z ciepłowni dla temperatury zewnetrznej 6.0 [°C] |
| 65 | 60,0 | 110,0 | 100,0 | zadana temperatura przed kotłami [°C] |
| 72 | 500,0 | 900,0 | 700,0 | zadany przepływ przy temperaturze +6°C |
| 73 | 300,0 | 700,0 | 500,0 | zadany przepływ przy temperaturze +12°C |
| 80 | 27,00 | 60,00 | 29,00 | moc przy 0°C |
| 81 | 20,00 | 50,00 | 22,00 | moc przy 5°C |
| 82 | 10,00 | 35,00 | 12,90 | moc przy 12°C |
| 83 | 5,00 | 15,00 | 5,00 | moc w sezonie letnim |
| 90 | -20,0 | 20,0 | 3,0 | temperatura startu |
| 91 | 0,0 | 1,0 | 0,3 | współczynnik wpływu słońca [řC/řC] |
| 92 | 0,0 | 1,0 | 0,2 | współczynnik wpływu wiatru [řC/m/s] |
| 93 | 0,0 | 1,0 | 0,0 | programowalna korekta mocy od odchyłki temperatury wyjściowej w stosunku do odniesienia |
| 99 | 0 | 9999 | 0 | kod dostępu do parametrów programowalnych |
Wejścia analogowe
| numer | opis |
| 01 | przepływ ciepłowni (4..20mA) |
| 02 | przepływ mieszania gorącego (4..20mA) |
| 03 | rezerwa (4..20mA) |
| 04 | rezerwa (4..20mA) |
| 05 | zadajnik prądowy falownika pompy (4..20mA) |
| 06 | rezerwa (4..20mA) |
| 07 | rezerwa (0..200°C) |
| 08 | temperatura wody w kolektorze za kotłami (0..200°C) |
| 09 | temperatura wody powracającej z systemu (0..200°C) |
| 10 | temperatura wody wyjściowej do systemu (0..200°C) |
| 11 | temperatura zewnętrzna na słońcu (-30..70°C) |
| 12 | temperatura zewnętrzna (-30..70°C) |
Wejścia logiczne
| numer | opis |
| 01 | praca automatyczna |
| 02 | synchronizacja |
| 03 | sezon zimowy |
| 04 | rezerwa |
| 05 | rezerwa |
| 06 | rezerwa |
| 07 | kontrola sygnalizacji |
| 08 | kasowanie sygnalizacji |
Wyjścia analogowe
| numer | opis |
| 01 | wysterowanie falownika pompy mieszania gorącego |
| 02 | rezerwa |
| 03 | rezerwa |
Wyjścia przekaźnikowe
| numer | opis |
| 01 | praca automatyczna |
| 02 | rezerwa |
| 03 | rezerwa |
| 04 | rezerwa |
| 05 | rezerwa |
| 06 | sygnalizacja transmisji z komputerem |
| 07 | sygnalizacja regulacji |
| 08 | sygnał do kotłów - "nic nie rób" |
| 09 | sygnalizacja braku transmisji |
| 10 | wstrzymanie regulacji - zakłócenie pracy kotłów |
| 11 | koniec zakresu regulacji przepływem mieszania |
| 12 | przekroczenie mocy deficytowej |
| 13 | rezerwa |
| 14 | rezerwa |
| 15 | rezerwa |
| 16 | buczek |
| 17 | rezerwa |
Instrukcja obsługi regulatora Z-Elektronik
Instrukcja obsługi panelu blokad
Deklaracja zgodności CE regulatora Z-Elektronik
Automatically generated by DOCGEN on 2026.03.28 03:20:24
based on /var/szarp/programy/trunk/swidnik/wr/2305/siecwyk.c